High漫画
High漫画
High漫画概况
High漫画简介
现任领导
机构设置
系部介绍
师资队伍
队伍概况
英语系
东语系
西语系
大学英语部
研究生教学部
本科教育
外语专业
大学英语
实践基地
教学资源
研究生教育
学位点介绍
导师队伍
教学与研究动态
实践基地
研究生会
学术研究
学术机构
学术动态
科研成果
合作交流
国际交流
国内交流
党群工作
党建工作
工会活动
招生就业
招生工作
就业工作
学生之窗
学工快讯
创新创业
校友风采
表格下载
English
当前位置:
High漫画
>>
党群工作
>>
党建工作
>>
党建动态
>> 正文
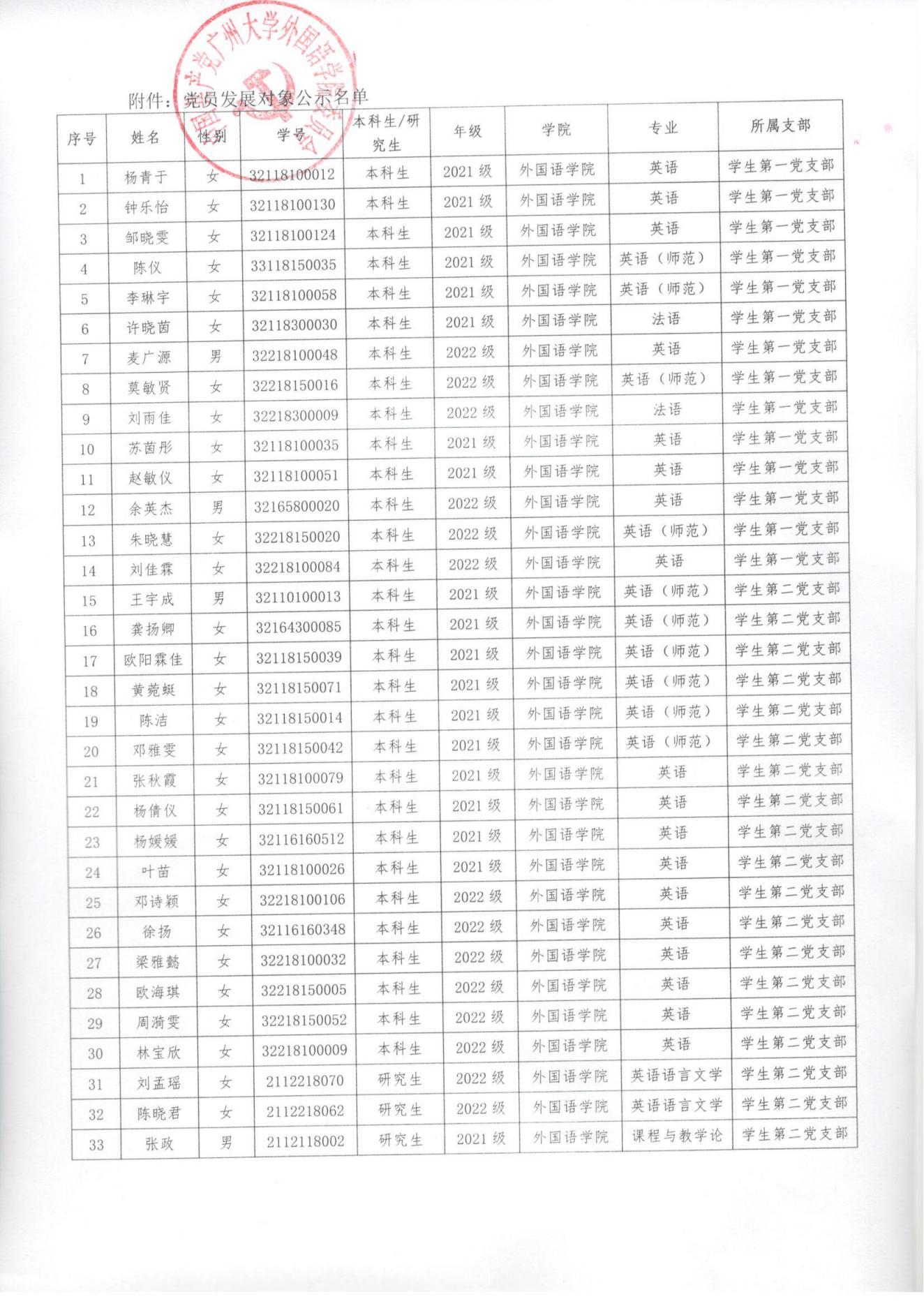
High漫画 关于拟确定为2024年春季党员发展对象的名单公示
发布者:
[发表时间]:2024-04-01
[来源]:
[浏览次数]: